09/2023 : Graph Time
Two Reviews and An Update
It has been a full summer since our last missive. Remarkably wet here in New England, and I’ve heard quite hot in other places. I hope it has gone well for you all.
This issue of our occasional newsletter contains the following:
Updated graphs showing nutrient variations overlaid upon variety, point of purchase, fertility program and label. Not necessarily the kind of results that people attached to a certain identity or perspective are going to want to see . . . .
A review of the best practical homesteading lifestyle manual and memoir that I have read in a very long time, if ever. It happens to have been written by my parents, and of course that colors my comments, but I share thoughts as well from a few others who have a good word
Details about our ready-to-publish paper reviewing the findings of the Bionutrient Institute’s lab work from 2017-2022
An update on the Beef Nutrient Density project
Upcoming events across the US during the coming month
A review of an upcoming film, the best I’ve seen on the water cycle and how working with it and nature and small farms the climate crisis can be reversed remarkably rapidly
It’s going to be a long one, get your reading glasses,
Dan
The Graphs
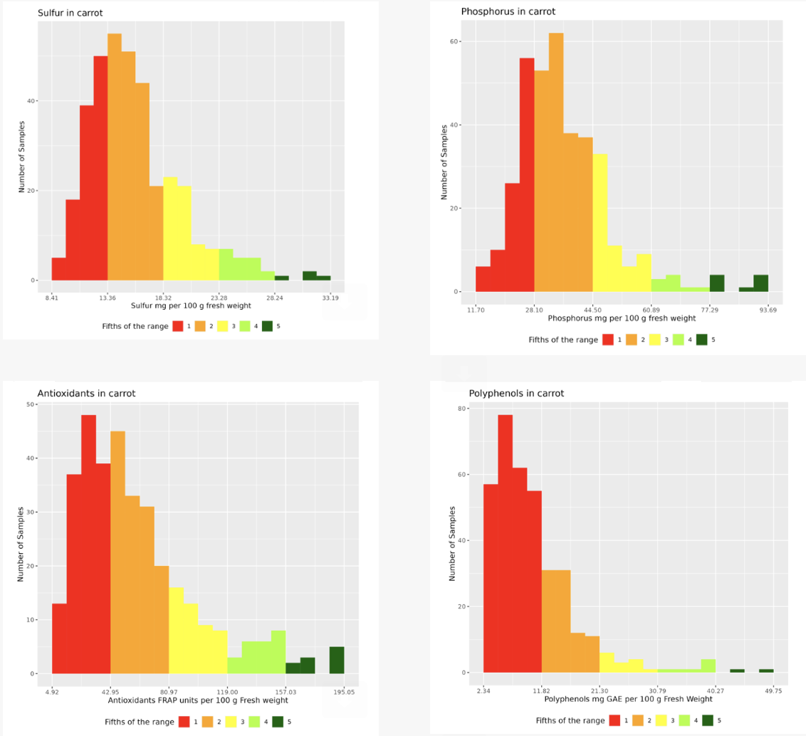
The following graphs are from carrots, and we have similar ones for 20 other crops. They come from the work we performed through the Bionutrient Institute from 2017-2022. We assessed over 5,000 samples of almost 30 different crops across two continents, from farms to grocery stores. Hundreds of farms took part in the project and sent in another few thousand soil samples and correlated management data from which we pulled the following content.
The first four graphs, below, show the range and distribution of 2 elements and 2 compound families. Notice that the vast majority of the samples found were in the bottom 40% of the range distribution. That means that almost everything we assessed was relatively quite low in relation to what it could be in the associated nutrients. Yes, most carrots have low levels of nutrients but much better is possible. As well, notice the range of variation. 4:1 and 8:1 in the elements, and 20:1 and 40:1 on the compounds. That means this carrot had 4 times as much sulfur than that one, or, this carrot had 40 times as many antioxidants as that 1. Not small differences!
This next graph is a violin plot that shows variations in overall nutrients by practice and label. The overall nutrients were an integration of elements and compounds that we assessed in the first years of our work. Not a complete nutrient density definition but the best placeholder we have. We call it BQI, which stands for Bionutrient Quotient Index. You will notice that the same broad distribution of nutrient levels found in individual nutrients exists across these practices, like organic, biodynamic, regenerative, no-till, etc. What I take from this is that no one label or identifier is a predictor of overall quality. In general, most of what is in the supply chain is relatively poor in relation to what could be and that shows up across labels.
This graph shows nutrient variation based upon point of purchase. Again, we see that in all points of purchase, there is a broad range of quality available but only a small percentage of the supply chain has nutrients at relatively high levels.
Finally, we have a graph showing nutrient variation based on variety. Again, as seen in the above modes of differentiation variety is not a good predictor of overall nutrient levels. It seems some growers are able to produce crops with high levels of nutrients, but the vast majority do not, regardless of the variety.
Overall what we see here is largely what we predicted at the beginning of this work when we designed the study to assess these various metrics. Any individual metric like local vs. grocery store, organic vs. not organic, this variety vs. that variety, does not seem to be a good identifier as to what the overall nutrient levels of a crop are. Our hypothesis is that overall system function of the soil, instead of claims like no-till or cover crop, is much more likely to be the dominant causal factor in determining the quality of crops produced.
Our First Paper
After many years of research and a number of reports published on our website, we have realized the importance of publishing our work in the peer-review world. This first paper, a “methods paper”, confirms the reliability of our Bionutrient Meter to assess nutrients on samples prepared in the lab with a flash of light, as well as the variations in the compound families of polyphenols, antioxidants, and protein. We’re hoping it will be formally published by this winter.
The Beef Project
This seminal project, the first to actually try to define Nutrient Density in any crop, is one that has been occupying a majority of our time and effort for the past year and a half. We have crossed a major hurdle with almost 400 unique steaks assessed, along with their associated management practices and manure, forage, and soil samples. As well, human health trials are being done comparing grass-fed, grain-fed, and plant-based “meat” on a subset of the beef! We hope to see outcomes from this by late 2024/2025. Hundreds of unique compounds and elements are being assessed in the meat as well as hundreds more microbes in the manure, to bring better context to what management practices and environmental conditions correlate with superior meat nutritional value and overall animal health and wellbeing.
We are convening our initial Bionutrient Definition Standards Board (BDSB) to begin teasing out the patterns we can see now, as well as helping to direct further investigation into this topic. Our thought is to show how we envision nutrient density being defined as a critical step towards raising the significant funds necessary to carry this out on dozens more crops.
Preliminary results sure are looking like the level of diversity of forage is directly connected with health-beneficial compounds in the meat. As in, cows with a multispecies pasture produce meat that is more nutritious than cows eating off of monoculture pasture, who produce meat that is healthier than cows who are finished on grain.
September Events
Dan has a busy month in September, and will be traveling all over the country! Take a look to see when he might be in your neck of the woods:
9/12: Keynoting at The Grassfed Exchange conference in Pennsylvania, sharing with these graziers preliminary results from the data collected by the Beef Project thus far
9/13: Speaking at See Change in Vermont to, among others, investors in and advocates of cell-based and other “alternative” meat
9/14: Speaking to the 20th anniversary Thousand Hills attendees about the work of the beef project
9/17: Speaking at the Minneapolis/St. Paul chapter of the Weston A. Price Foundation about the work of the BFA in Nutrient Density
9/22: Speaking at the Washington State Veterinary Association’s annual event about the connections between management and animal health
9/23: Meeting with the newly formed BFA chapter in Tillamook, Oregon. Details below:
The Film
The BFA is excited to be partnering with Hummingbird Films to be organizing screenings of the soon-to-be-released film “Regenerating Life”. The film comes in three parts, and it is the first that I think is most unique and worthy of attention. As much conversation continues to occur pertaining to carbon dioxide and efforts to modulate climate, this film brings light to the critically important fact that the water cycle governs more than 90% of the heat dynamics of the planet. This understanding, for the first time well conveyed in a feature-length film (that I know of), will leave those who comprehend it much more at ease about what our future needs be. By working with nature's processes, we have at our fingertips the capacity, in short order, to bring modulation and balance to the global climate.
The examples from across the planet where this is occurring on scale are heartening to anyone who might be in a funk from hearing too much about the problems side of the story. While a bit long for some audiences, (almost 2.5 hours) it covers a broad swath of territory, with the first section as mentioned clarifying the role that the water cycle plays in overall climate modulation. The second section delves into the fact that nature inherently has all of the capacities to find balance if we work with her, and the final section covers the critical role that small growers globally play in our human interaction with this system.
Some of this content in the second and third sections may be a review for those in this community, but as a primer for friends and family who may not be so far down the rabbit hole, this is a beautiful and thoughtful weaving together of these important topics. For almost everyone, however, the first section's points about the water cycle are revolutionary. So gently told, and with so many mic drops throughout that it may take a few rewatchings to fully integrate all that is conveyed here.
Click below to watch the trailer:
The Screenings
During the month of August, we screened the three sections of the film privately for chapter leaders, and are supporting them in organizing screenings in their locales. We have nine different groups signed up already, and hope to get to 10-15 before the film is publicly released in late October. If you are interested in taking part in this local community building activity, please reach out to Shawna Lyons, our chapter leader coordinator at chapters@bionutrient.org.
The Book
For those who don’t know my backstory, I grew up on a back-to-the-land organic farm homestead as the first of four children of community organizers. My parents met in inner-city Boston where they were rabble-rousing in the 70’s, and after starting a family, set their sights on a different kind of life. This book, Many Hands Make a Farm, is their story. From designing and building their home to finding the right livelihood and raising children well, to building community, there is a lot of life’s lived wisdom conveyed here with varying wry, witty, and frank tones.
After knowing about this project for more than a year, but having seen nothing of the content until a friend surreptitiously brought me a review copy he had been provided last week, I had not seen anything of the content. I laid down for bed that night with it in my hand and did not put it down until I had finished it.
The chapter titled “Food Preservation as a Continual Practice” is a masterwork and contains the most succinct and pragmatic summation of the topic I have yet come across. From timing to technique and rationale, everything from stock to tinctures, including wine, veggies, canning, lard, herbs, sauces, berries, juice, soap, salve, lacto-fermentation and root cellaring are covered. My mother cooked 4,500 meals for people who came through the farm last year almost entirely from what they harvested from the farm. She knows this craft. These 33 pages of the book should be pulled out and published as a how-to guide and stand entirely on their own.
Chapters include Moving to the Country, Raising Children, Working with People, and Staying Healthy and Productive, as well as Living Soil, Living Food, and Building NOFA and Organic Awareness. Each one is broken out with subsections covering their considered insights.
From those just getting started on their path to the land, or envisioning one, or closer to the end of life and considering what is still ahead, there is something here for many people. Those who want a first-person view of the history of the organic movement from a couple whose professional career was as central leaders, again I’m not sure I’ve come across one as good.
I know at this point, my words may seem a bit too laudatory, but those who know me know I don’t speak this way without cause. Regardless, I’ll let the words of Leah Penniman, who has a role in the book under the section “Children of the Heart”, speak. From the conclusion of her forward to the book: “Beyond the practical how-to, this book offers a window into living a life of meaning rooted in integrity, values, critical thinking, and persistent effort. There are many who aspire to live with and from the land, rooted in community, but few who make it work and stick with it for a lifetime. I believe Jack and Julie will be recorded in the annals of organic farming history alongside Scott and Helen Nearing and Juanita and Wally Nelson. They taught me invaluable lessons about how to nurture a farm that have informed my work at Soil Fire Farm. They have also shown me and so many others how to love across differences, how to tell the truth, and what it is to live well.”
Here is what Joel Salatin said: “This might be the most delightful book I’ve read in a long time. Rare in its raw, practical, from-the-heart stories, every challenging lesson is cloaked in respect and humor. I can’t imagine a better way to present a small farm life lived exuberantly. Though their sphere of influence is vast, I hope this book touches multitudes who haven’t had the privilege of knowing Julie and Jack personally. Wisdom tidbits scattered throughout are too numerous to mention. I couldn’t put it down”.
Bryan O'Hara, author of No-Till Intensive Vegetable Culture, says of the book: “Many Hands Make a Farm is an inspirational and engaging read by two of organic agriculture's most respected leaders. Jack and Julie are steadfast champions of freedom and love. Their open-minded questioning has led them to a life full of nature's insights, as well as the fortitude to say what needs to be said. Farming, raising children, community organizing, music, and health—they offer their wisdom and pointers on the practical application of ‘the good life.’ And when they say ‘many hands,’ they aren't kidding. This family gets a whole lot done!”
John Kempf has this to say about the book: "In 'Many Hands Make a Farm,' Jack and Julie masterfully weave together the threads of sustainable agriculture, the trials and triumphs of raising a family, the profound connections we build with loved ones, and the enduring strength of community bonds. Regeneration is fundamentally about regenerating relationships, at all levels. Jack and Julie give us a shining example of how to live regeneration."
Join Us!
Our work depends on the support of people who are passionate about the health of our soil, food, community, and planet. People like YOU!
As a BFA member, you'll receive:
Discounts to innovative events, programming, workshops, and our annual Soil & Nutrition Conference
Periodic newsletters with regular updates about our lab testing progress.
Invitations to join our new webinar series: Let’s Talk Bionutrient!
Option to purchase valuable tools. We offer our members access to toolkits at a discounted cost for testing, evaluating, and improving the quality of their crops, produce, and soil.
Click the button below to learn more and sign up to become part of a community of citizen scientists, farmers, and businesses, all focused on increasing quality in the food supply. We look forward to having you on board!